45 KiB
Dynamic Linking
Program Interpreter
An executable file that participates in
dynamic linking shall have one
PT_INTERP program header element.
During
exec(BA_OS),
the system retrieves a path name from the PT_INTERP
segment and creates the initial process image from
the interpreter file's segments. That is,
instead of using the original executable file's
segment images, the system composes a memory
image for the interpreter.
It then is the interpreter's responsibility to
receive control from the system and provide an
environment for the application program.
As ``Process Initialization'' in Chapter 3 of the processor supplement mentions, the interpreter receives control in one of two ways. First, it may receive a file descriptor to read the executable file, positioned at the beginning. It can use this file descriptor to read and/or map the executable file's segments into memory. Second, depending on the executable file format, the system may load the executable file into memory instead of giving the interpreter an open file descriptor. With the possible exception of the file descriptor, the interpreter's initial process state matches what the executable file would have received. The interpreter itself may not require a second interpreter. An interpreter may be either a shared object or an executable file.
-
A shared object (the normal case) is loaded as
position-independent, with addresses that may vary
from one process to another; the system creates its segments
in the dynamic segment area used by
mmap(KE_OS) and related services [See ``Virtual Address Space'' in Chapter 3 of the processor supplement]. Consequently, a shared object interpreter typically will not conflict with the original executable file's original segment addresses. - An executable file may be loaded at fixed addresses; if so, the system creates its segments using the virtual addresses from the program header table. Consequently, an executable file interpreter's virtual addresses may collide with the first executable file; the interpreter is responsible for resolving conflicts.
Dynamic Linker
When building an executable file that uses dynamic linking, the link editor adds a program header element of typePT_INTERP to an executable file, telling the system to invoke
the dynamic linker as the program interpreter.
The locations of the system provided dynamic
linkers are processor specific.
Exec(BA_OS)
and the dynamic linker cooperate to
create the process image for the program, which entails
the following actions:
- Adding the executable file's memory segments to the process image;
- Adding shared object memory segments to the process image;
- Performing relocations for the executable file and its shared objects;
- Closing the file descriptor that was used to read the executable file, if one was given to the dynamic linker;
-
Transferring control to the program, making it look as if
the program had received control directly from
exec(BA_OS).
The link editor also constructs various data that assist the dynamic linker for executable and shared object files. As shown above in ``Program Header'', this data resides in loadable segments, making them available during execution. (Once again, recall the exact segment contents are processor-specific. See the processor supplement for complete information).
-
A
.dynamicsection with typeSHT_DYNAMICholds various data. The structure residing at the beginning of the section holds the addresses of other dynamic linking information. -
The
.hashsection with typeSHT_HASHholds a symbol hash table. -
The
.gotand.pltsections with typeSHT_PROGBITShold two separate tables: the global offset table and the procedure linkage table. Chapter 3 discusses how programs use the global offset table for position-independent code. Sections below explain how the dynamic linker uses and changes the tables to create memory images for object files.
Because every ABI-conforming program imports the basic system services from a shared object library [See ``System Library'' in Chapter 6], the dynamic linker participates in every ABI-conforming program execution.
As `Program Loading'' explains in the processor supplement, shared objects may occupy virtual memory addresses that are different from the addresses recorded in the file's program header table. The dynamic linker relocates the memory image, updating absolute addresses before the application gains control. Although the absolute address values would be correct if the library were loaded at the addresses specified in the program header table, this normally is not the case.
If the process environment [see exec(BA_OS)]
contains a variable named LD_BIND_NOW
with a non-null value, the dynamic linker processes
all relocations before transferring control to the program.
For example, all the following environment entries
would specify this behavior.
-
LD_BIND_NOW=1 -
LD_BIND_NOW=on -
LD_BIND_NOW=off
LD_BIND_NOW either
does not occur in the environment or has a null value.
The dynamic linker is permitted to evaluate procedure linkage table
entries lazily, thus avoiding symbol resolution and relocation
overhead for functions that are not called.
See ``Procedure Linkage Table'' in this chapter of the processor
supplement for more information.
Dynamic Section
If an object file participates in dynamic linking,
its program header table will have an element of type
PT_DYNAMIC.
This ``segment'' contains the .dynamic section.
A special symbol, _DYNAMIC,
labels the section, which contains
an array of the following structures.
Figure 5-9: Dynamic Structure
typedef struct {
Elf32_Sword d_tag;
union {
Elf32_Word d_val;
Elf32_Addr d_ptr;
} d_un;
} Elf32_Dyn;
extern Elf32_Dyn _DYNAMIC[];
typedef struct {
Elf64_Sxword d_tag;
union {
Elf64_Xword d_val;
Elf64_Addr d_ptr;
} d_un;
} Elf64_Dyn;
extern Elf64_Dyn _DYNAMIC[];
For each object with this type, d_tag
controls the interpretation of d_un.
d_val- These objects represent integer values with various interpretations.
d_ptr- These objects represent program virtual addresses. As mentioned previously, a file's virtual addresses might not match the memory virtual addresses during execution. When interpreting addresses contained in the dynamic structure, the dynamic linker computes actual addresses, based on the original file value and the memory base address. For consistency, files do not contain relocation entries to ``correct'' addresses in the dynamic structure.
To make it simpler for tools to interpret the contents of
dynamic section entries, the value of each tag, except for those in
two special compatibility ranges,
will determine the interpretation of the d_un
union. A tag whose value is an even number
indicates a dynamic section entry that uses d_ptr.
A tag whose value is an odd number indicates a dynamic section entry
that uses d_val or that uses neither d_ptr
nor d_val. Tags whose values are less
than the special value DT_ENCODING and tags
whose values fall between DT_HIOS and
DT_LOPROC do not follow these rules.
The following table summarizes the tag requirements for executable and shared object files. If a tag is marked ``mandatory'', the dynamic linking array for an ABI-conforming file must have an entry of that type. Likewise, ``optional'' means an entry for the tag may appear but is not required.
Figure 5-10: Dynamic Array Tags,
d_tag
| Name | Value | d_un |
Executable | Shared Object |
|---|---|---|---|---|
DT_NULL |
0 |
ignored | mandatory | mandatory |
DT_NEEDED |
1 |
d_val |
optional | optional |
DT_PLTRELSZ |
2 |
d_val |
optional | optional |
DT_PLTGOT |
3 |
d_ptr |
optional | optional |
DT_HASH |
4 |
d_ptr |
mandatory | mandatory |
DT_STRTAB |
5 |
d_ptr |
mandatory | mandatory |
DT_SYMTAB |
6 |
d_ptr |
mandatory | mandatory |
DT_RELA |
7 |
d_ptr |
mandatory | optional |
DT_RELASZ |
8 |
d_val |
mandatory | optional |
DT_RELAENT |
9 |
d_val |
mandatory | optional |
DT_STRSZ |
10 |
d_val |
mandatory | mandatory |
DT_SYMENT |
11 |
d_val |
mandatory | mandatory |
DT_INIT |
12 |
d_ptr |
optional | optional |
DT_FINI |
13 |
d_ptr |
optional | optional |
DT_SONAME |
14 |
d_val |
ignored | optional |
DT_RPATH* |
15 |
d_val |
optional | ignored |
DT_SYMBOLIC* |
16 |
ignored | ignored | optional |
DT_REL |
17 |
d_ptr |
mandatory | optional |
DT_RELSZ |
18 |
d_val |
mandatory | optional |
DT_RELENT |
19 |
d_val |
mandatory | optional |
DT_PLTREL |
20 |
d_val |
optional | optional |
DT_DEBUG |
21 |
d_ptr |
optional | ignored |
DT_TEXTREL* |
22 |
ignored | optional | optional |
DT_JMPREL |
23 |
d_ptr |
optional | optional |
DT_BIND_NOW* |
24 |
ignored | optional | optional |
DT_INIT_ARRAY |
25 |
d_ptr |
optional | optional |
DT_FINI_ARRAY |
26 |
d_ptr |
optional | optional |
DT_INIT_ARRAYSZ |
27 |
d_val |
optional | optional |
DT_FINI_ARRAYSZ |
28 |
d_val |
optional | optional |
DT_RUNPATH |
29 |
d_val |
optional | optional |
DT_FLAGS |
30 |
d_val |
optional | optional |
DT_ENCODING |
32 |
unspecified | unspecified | unspecified |
DT_PREINIT_ARRAY |
32 |
d_ptr |
optional | ignored |
DT_PREINIT_ARRAYSZ |
33 |
d_val |
optional | ignored |
DT_LOOS |
0x6000000D |
unspecified | unspecified | unspecified |
DT_HIOS |
0x6ffff000 |
unspecified | unspecified | unspecified |
DT_LOPROC |
0x70000000 |
unspecified | unspecified | unspecified |
DT_HIPROC |
0x7fffffff |
unspecified | unspecified | unspecified |
* Signifies an entry that is at level 2.
DT_NULL-
An entry with a
DT_NULLtag marks the end of the_DYNAMICarray. DT_NEEDED-
This element holds the string table offset of a null-terminated string,
giving the name of a needed library.
The offset is an index into the table recorded in the
DT_STRTABcode. See ``Shared Object Dependencies'' for more information about these names. The dynamic array may contain multiple entries with this type. These entries' relative order is significant, though their relation to entries of other types is not. DT_PLTRELSZ-
This element holds the total size, in bytes,
of the relocation entries associated with the procedure linkage table.
If an entry of type
DT_JMPRELis present, aDT_PLTRELSZmust accompany it. DT_PLTGOT- This element holds an address associated with the procedure linkage table and/or the global offset table. See this section in the processor supplement for details.
DT_HASH-
This element holds the address of the symbol hash table,
described in
``Hash Table''.
This hash table refers to the symbol table referenced by the
DT_SYMTABelement. DT_STRTAB- This element holds the address of the string table, described in Chapter 4. Symbol names, library names, and other strings reside in this table.
DT_SYMTAB-
This element holds the address of the symbol table,
described in the first part of this chapter, with
Elf32_Symentries for the 32-bit class of files andElf64_Symentries for the 64-bit class of files. DT_RELA-
This element holds the address of a relocation table,
described in Chapter 4.
Entries in the table have explicit addends, such as
Elf32_Relafor the 32-bit file class orElf64_Relafor the 64-bit file class. An object file may have multiple relocation sections. When building the relocation table for an executable or shared object file, the link editor catenates those sections to form a single table. Although the sections remain independent in the object file, the dynamic linker sees a single table. When the dynamic linker creates the process image for an executable file or adds a shared object to the process image, it reads the relocation table and performs the associated actions. If this element is present, the dynamic structure must also haveDT_RELASZandDT_RELAENTelements. When relocation is ``mandatory'' for a file, eitherDT_RELAorDT_RELmay occur (both are permitted but not required). DT_RELASZ-
This element holds the total size, in bytes, of the
DT_RELArelocation table. DT_RELAENT-
This element holds the size, in bytes, of the
DT_RELArelocation entry. DT_STRSZ- This element holds the size, in bytes, of the string table.
DT_SYMENT- This element holds the size, in bytes, of a symbol table entry.
DT_INIT- This element holds the address of the initialization function, discussed in ``Initialization and Termination Functions'' below.
DT_FINI- This element holds the address of the termination function, discussed in ``Initialization and Termination Functions'' below.
DT_SONAME-
This element holds the string table offset of a null-terminated string,
giving the name of the shared object.
The offset is an index into the table recorded in the
DT_STRTABentry. See ``Shared Object Dependencies'' below for more information about these names. DT_RPATH-
This element holds the string table offset of a null-terminated search
library search path string discussed in
``Shared Object Dependencies''.
The offset is an index into the table recorded in the
DT_STRTABentry. This entry is at level 2. Its use has been superseded byDT_RUNPATH. DT_SYMBOLIC-
This element's presence in a shared object library alters
the dynamic linker's symbol resolution algorithm for
references within the library.
Instead of starting a symbol search with the
executable file, the dynamic linker starts from the
shared object itself.
If the shared object fails to supply the referenced
symbol, the dynamic linker then searches the
executable file and other shared objects as usual.
This entry is at level 2. Its use has been superseded
by the
DF_SYMBOLICflag. DT_REL-
This element is similar to
DT_RELA, except its table has implicit addends, such asElf32_Relfor the 32-bit file class orElf64_Relfor the 64-bit file class. If this element is present, the dynamic structure must also haveDT_RELSZandDT_RELENTelements. DT_RELSZ-
This element holds the total size, in bytes, of the
DT_RELrelocation table. DT_RELENT-
This element holds the size, in bytes, of the
DT_RELrelocation entry. DT_PLTREL-
This member specifies the type of relocation entry
to which the procedure linkage table refers.
The
d_valmember holdsDT_RELorDT_RELA, as appropriate. All relocations in a procedure linkage table must use the same relocation. DT_DEBUG- This member is used for debugging. Its contents are not specified for the ABI; programs that access this entry are not ABI-conforming.
DT_TEXTREL-
This member's absence signifies that no
relocation entry should cause a modification to a non-writable
segment, as specified by the segment permissions in the program
header table.
If this member is present, one or more relocation entries might
request modifications to a non-writable segment, and the dynamic
linker can prepare accordingly.
This entry is at level 2. Its use has been superseded
by the
DF_TEXTRELflag. DT_JMPREL-
If present, this entry's
d_ptrmember holds the address of relocation entries associated solely with the procedure linkage table. Separating these relocation entries lets the dynamic linker ignore them during process initialization, if lazy binding is enabled. If this entry is present, the related entries of typesDT_PLTRELSZandDT_PLTRELmust also be present. DT_BIND_NOW-
If present in a shared object or executable, this entry
instructs the dynamic linker to process all relocations
for the object containing this entry before transferring
control to the program.
The presence of this entry takes
precedence over a directive to use lazy binding for this object when
specified through the environment or via
dlopen(BA_LIB). This entry is at level 2. Its use has been superseded by theDF_BIND_NOWflag. DT_INIT_ARRAY- This element holds the address of the array of pointers to initialization functions, discussed in ``Initialization and Termination Functions'' below.
DT_FINI_ARRAY- This element holds the address of the array of pointers to termination functions, discussed in ``Initialization and Termination Functions'' below.
DT_INIT_ARRAYSZ-
This element holds the size in bytes of the array of initialization
functions pointed to by the
DT_INIT_ARRAYentry. If an object has aDT_INIT_ARRAYentry, it must also have aDT_INIT_ARRAYSZentry. DT_FINI_ARRAYSZ-
This element holds the size in bytes of the array of termination
functions pointed to by the
DT_FINI_ARRAYentry. If an object has aDT_FINI_ARRAYentry, it must also have aDT_FINI_ARRAYSZentry. DT_RUNPATH-
This element holds the string table offset of a null-terminated
library search path string discussed in
``Shared Object Dependencies''.
The offset is an index into the table recorded in the
DT_STRTABentry. DT_FLAGS-
This element holds flag values specific to the object being
loaded. Each flag value will have the name
DF_flag_name. Defined values and their meanings are described below. All other values are reserved. DT_PREINIT_ARRAY-
This element holds the address of the array of pointers to pre-initialization
functions,
discussed in
``Initialization and Termination Functions''
below. The
DT_PREINIT_ARRAYtable is processed only in an executable file; it is ignored if contained in a shared object. DT_PREINIT_ARRAYSZ-
This element holds the size in bytes of the array of pre-initialization
functions pointed to by the
DT_PREINIT_ARRAYentry. If an object has aDT_PREINIT_ARRAYentry, it must also have aDT_PREINIT_ARRAYSZentry. As withDT_PREINIT_ARRAY, this entry is ignored if it appears in a shared object. DT_ENCODING-
Values greater than or equal to
DT_ENCODINGand less thanDT_LOOSfollow the rules for the interpretation of thed_ununion described above. DT_LOOSthroughDT_HIOS-
Values in this inclusive range
are reserved for operating system-specific semantics.
All such values follow the rules for the interpretation of the
d_ununion described above. DT_LOPROCthroughDT_HIPROC-
Values in this inclusive range
are reserved for processor-specific semantics. If meanings
are specified, the processor supplement explains them.
All such values follow the rules for the interpretation of the
d_ununion described above.
Except for the DT_NULL element at the end of the array,
and the relative order of DT_NEEDED
elements, entries may appear in any order.
Tag values not appearing in the table are reserved.
Figure 5-11:
DT_FLAGS values
| Name | Value |
|---|---|
DF_ORIGIN |
0x1 |
DF_SYMBOLIC |
0x2 |
DF_TEXTREL |
0x4 |
DF_BIND_NOW |
0x8 |
DF_STATIC_TLS |
0x10 |
DF_ORIGIN-
This flag signifies that the object being loaded may make reference
to the
$ORIGINsubstitution string (see ``Substitution Sequences''). The dynamic linker must determine the pathname of the object containing this entry when the object is loaded. DF_SYMBOLIC- If this flag is set in a shared object library, the dynamic linker's symbol resolution algorithm for references within the library is changed. Instead of starting a symbol search with the executable file, the dynamic linker starts from the shared object itself. If the shared object fails to supply the referenced symbol, the dynamic linker then searches the executable file and other shared objects as usual.
DF_TEXTREL- If this flag is not set, no relocation entry should cause a modification to a non-writable segment, as specified by the segment permissions in the program header table. If this flag is set, one or more relocation entries might request modifications to a non-writable segment, and the dynamic linker can prepare accordingly.
DF_BIND_NOW-
If set in a shared object or executable, this flag
instructs the dynamic linker to process all relocations
for the object containing this entry before transferring
control to the program.
The presence of this entry takes
precedence over a directive to use lazy binding for this object when
specified through the environment or via
dlopen(BA_LIB). DF_STATIC_TLS- If set in a shared object or executable, this flag instructs the dynamic linker to reject attempts to load this file dynamically. It indicates that the shared object or executable contains code using a static thread-local storage scheme. Implementations need not support any form of thread-local storage.
Shared Object Dependencies
When the link editor processes an archive library, it extracts library members and copies them into the output object file. These statically linked services are available during execution without involving the dynamic linker. Shared objects also provide services, and the dynamic linker must attach the proper shared object files to the process image for execution.
When the dynamic linker creates the memory segments for
an object file, the dependencies (recorded in
DT_NEEDED entries of the dynamic structure)
tell what shared objects are needed to
supply the program's services.
By repeatedly connecting referenced shared objects and
their dependencies, the dynamic linker builds a complete process image.
When resolving symbolic references, the dynamic linker
examines the symbol tables with a breadth-first search.
That is, it first looks at the symbol table of the
executable program itself, then at the symbol tables
of the DT_NEEDED entries (in order),
and then at the second level DT_NEEDED entries, and
so on. Shared object files must be readable by the process;
other permissions are not required.
Even when a shared object is referenced multiple
times in the dependency list, the dynamic linker will
connect the object only once to the process.
Names in the dependency list are copies either of the
DT_SONAME strings or the path names of the shared objects used to build
the object file.
For example, if the link editor builds an executable
file using one shared object with a
DT_SONAME entry of lib1
and another shared object library with the path name
/usr/lib/lib2, the executable file will contain
lib1 and /usr/lib/lib2 in its dependency list.
If a shared object name has one or more slash (/)
characters anywhere in the name, such as /usr/lib/lib2
or directory/file, the dynamic linker uses that string directly
as the path name.
If the name has no slashes, such as lib1,
three facilities specify shared object path searching.
-
The dynamic array tag
DT_RUNPATHgives a string that holds a list of directories, separated by colons (:). For example, the string/home/dir/lib:/home/dir2/lib:tells the dynamic linker to search first the directory/home/dir/lib, then/home/dir2/lib, and then the current directory to find dependencies.The set of directories specified by a given
DT_RUNPATHentry is used to find only the immediate dependencies of the executable or shared object containing theDT_RUNPATHentry. That is, it is used only for those dependencies contained in theDT_NEEDEDentries of the dynamic structure containing theDT_RUNPATHentry, itself. One object'sDT_RUNPATHentry does not affect the search for any other object's dependencies. -
A variable called
LD_LIBRARY_PATHin the process environment [seeexec(BA_OS)] may hold a list of directories as above, optionally followed by a semicolon (;) and another directory list. The following values would be equivalent to the previous example:-
LD_LIBRARY_PATH=/home/dir/usr/lib:/home/dir2/usr/lib: -
LD_LIBRARY_PATH=/home/dir/usr/lib;/home/dir2/usr/lib: -
LD_LIBRARY_PATH=/home/dir/usr/lib:/home/dir2/usr/lib:;
Although some programs (such as the link editor) treat the lists before and after the semicolon differently, the dynamic linker does not. Nevertheless, the dynamic linker accepts the semicolon notation, with the semantics described previously.
All
LD_LIBRARY_PATHdirectories are searched before those fromDT_RUNPATH. -
-
Finally, if the other two groups of directories
fail to locate the desired library, the dynamic linker searches
the default directories,
/usr/libor such other directories as may be specified by the ABI supplement for a given processor.
When the dynamic linker is searching for shared objects, it is
not a fatal error if an ELF file with the wrong attributes
is encountered in the search. Instead, the dynamic linker
shall exhaust the search of all paths before determining
that a matching object could not be found. For this determination,
the relevant attributes are contained in the following ELF header fields:
e_ident[EI_DATA],
e_ident[EI_CLASS],
e_ident[EI_OSABI],
e_ident[EI_ABIVERSION],
e_machine,
e_type, e_flags
and e_version.
For security, the dynamic linker ignores
LD_LIBRARY_PATH for set-user and
set-group ID programs.
It does, however, search DT_RUNPATH directories
and the default directories.
The same restriction may be applied to processes that have more than
minimal privileges on systems with installed extended security
mechanisms.
A fourth search facility, the dynamic array tag DT_RPATH,
has been moved to level 2 in the ABI.
It provides a colon-separated list of directories to search.
Directories specified by DT_RPATH are searched
before directories specified by LD_LIBRARY_PATH.
If both DT_RPATH and DT_RUNPATH
entries appear in a single object's dynamic array,
the dynamic linker processes only the DT_RUNPATH
entry.
Substitution Sequences
Within a string provided by dynamic array entries with theDT_NEEDED or DT_RUNPATH tags and in
pathnames passed as parameters to the dlopen() routine, a
dollar sign ($) introduces a substitution sequence.
This sequence consists of the dollar sign immediately followed
by either the longest name sequence or a name contained
within left and right braces ({) and (}).
A name is a sequence of bytes that start with either a letter or
an underscore followed by zero or more letters, digits or underscores.
If a dollar sign is not immediately followed by a name or a
brace-enclosed name, the behavior of the dynamic linker is unspecified.
If the name is ``ORIGIN'', then the substitution
sequence is replaced by the dynamic linker with the absolute
pathname of the directory in which the object containing the
substitution sequence originated. Moreover, the pathname will
contain no symbolic links or use of ``.'' or
``..'' components.
Otherwise (when the name is not ``ORIGIN'')
the behavior of the dynamic linker is unspecified.
When the dynamic linker loads an object that uses $ORIGIN,
it must calculate the pathname of the directory containing the object.
Because this calculation can be computationally expensive,
implementations may want to avoid the calculation for objects
that do not use $ORIGIN.
If an object calls dlopen() with a string
containing $ORIGIN and does not use $ORIGIN
in one if its dynamic array entries,
the dynamic linker may not have calculated the
pathname for the object until the dlopen() actually
occurs. Since the application may have changed its current
working directory before the dlopen() call,
the calculation may not yield the correct result.
To avoid this possibility, an object may signal its intention
to reference $ORIGIN by setting the
DF_ORIGIN flag.
An implementation may reject an attempt to use $ORIGIN
within a dlopen() call from an object that
did not set the DF_ORIGIN flag and did not
use $ORIGIN within its dynamic array.
For security, the dynamic linker does not allow use of
$ORIGIN substitution sequences for set-user and
set-group ID programs. For such sequences that appear
within strings specified by DT_RUNPATH dynamic
array entries, the specific search path containing the
$ORIGIN sequence is ignored (though other
search paths in the same string are processed).
$ORIGIN sequences within a DT_NEEDED
entry or path passed as a parameter to dlopen()
are treated as errors.
The same restrictions may be applied to processes that have more than
minimal privileges on systems with installed extended security
mechanisms.
Global Offset Table
This section requires processor-specific information.
The System V Application Binary Interface supplement
for the desired processor describes the details.
Procedure Linkage Table
This section requires processor-specific information.
The System V Application Binary Interface supplement
for the desired processor describes the details.
Hash Table
A hash table ofElf32_Word
objects supports symbol table access. The same table
layout is used for both the 32-bit and 64-bit file class.
Labels appear below
to help explain the hash table organization,
but they are not part of the specification.
Figure 5-12: Symbol Hash Table
nbucket |
nchain |
bucket[0] |
chain[0] |
The bucket array contains nbucket
entries, and the chain array contains nchain
entries; indexes start at 0.
Both bucket and chain
hold symbol table indexes.
Chain table entries parallel the symbol table.
The number of symbol table entries should equal
nchain;
so symbol table indexes also select chain table entries.
A hashing function (shown below) accepts a symbol name and returns a
value that may be used to compute a bucket index.
Consequently, if the hashing function returns the value
x for some name, bucket[x%nbucket] gives
an index, y,
into both the symbol table and the chain table.
If the symbol table entry is not the one desired,
chain[y] gives the next symbol table entry
with the same hash value.
One can follow the chain
links until either the selected symbol table entry
holds the desired name or the chain entry contains the value
STN_UNDEF.
Figure 5-13: Hashing Function
unsigned long
elf_hash(const unsigned char *name)
{
unsigned long h = 0, g;
while (*name)
{
h = (h << 4) + *name++;
if (g = h & 0xf0000000)
h ^= g >> 24;
h &= ~g;
}
return h;
}
Initialization and Termination Functions
After the dynamic linker has built the process image and performed the relocations, each shared object and the executable file get the opportunity to execute some initialization functions. All shared object initializations happen before the executable file gains control.
Before the initialization functions for any object A is called, the initialization
functions for any other objects that object A depends on are called.
For these purposes, an object A depends on another object B,
if B appears in A's list of needed objects (recorded in the DT_NEEDED
entries of the dynamic structure).
The order of initialization for circular dependencies is undefined.
The initialization of objects occurs by recursing through the needed entries of each object. The initialization functions for an object are invoked after the needed entries for that object have been processed. The order of processing among the entries of a particular list of needed objects is unspecified.
Each processor supplement may optionally further restrict
the algorithm used to determine the order of initialization.
Any such restriction, however, may not conflict with
the rules described by this specification.
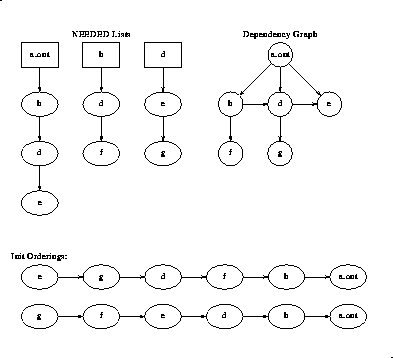
The following example illustrates two of the possible correct orderings
which can be generated for the example NEEDED lists.
In this example the a.out is dependent on b, d, and e.
b is dependent on d and f, while d is dependent on e and g.
From this information a dependency graph can be drawn.
The above algorithm on initialization will then allow the following
specified initialization orderings among others.
Figure 5-14: Initialization Ordering Example
Similarly, shared objects and executable files may have termination
functions, which are executed with the
atexit(BA_OS) mechanism after the base process begins its
termination sequence.
The termination functions for any object A must be called before
the termination functions for any other objects that object A depends
on. For these purposes, an object A depends on another object B,
if B appears in A's list of needed objects (recorded in the DT_NEEDED
entries of the dynamic structure).
The order of termination for circular dependencies is undefined.
Finally, an executable file may have pre-initialization functions. These functions are executed after the dynamic linker has built the process image and performed relocations but before any shared object initialization functions. Pre-initialization functions are not permitted in shared objects.
Complete initialization of system libraries may not have occurred when
pre-initializations are executed, so some features of the system
may not be available to pre-initialization code. In general,
use of pre-initialization code can be considered portable only
if it has no dependencies on system libraries.
The dynamic linker ensures that it will not execute any initialization, pre-initialization, or termination functions more than once.
Shared objects designate their
initialization and termination code in one of two ways.
First, they may specify the address of a function to execute
via the
DT_INIT
and
DT_FINI
entries in the dynamic structure, described in
``Dynamic Section''
above.
Note that the address of a function
need not be the same as a pointer to a function
as defined by the processor supplement.
Shared objects may also (or instead) specify the address and size of
an array of function pointers. Each element of this
array is a pointer to a function to be executed by the dynamic linker.
Each array element is the size of a pointer in the
programming model followed by the object containing
the array. The address of the array of initialization
function pointers is specified by the DT_INIT_ARRAY
entry in the dynamic structure. Similarly, the address of
the array of pre-initialization functions is specified by
DT_PREINIT_ARRAY and the address of the array
of termination functions is specified by DT_FINI_ARRAY.
The size of each array is specified by the DT_INIT_ARRAYSZ,
DT_PREINIT_ARRAYSZ, and DT_FINI_ARRAYSZ
entries.
The addresses contained in the initialization and termination arrays
are function pointers as defined by the processor supplement for
each processor. On some architectures, a function pointer may not
contain the actual address of the function.
The functions pointed to in the arrays
specified by DT_INIT_ARRAY and by DT_PREINIT_ARRAY
are executed by the dynamic
linker in the same order in which their addresses appear in
the array; those specified by DT_FINI_ARRAY
are executed in reverse order.
If an object contains both DT_INIT
and DT_INIT_ARRAY entries, the function referenced
by the DT_INIT entry is processed before those
referenced by the DT_INIT_ARRAY entry for that object.
If an object contains both DT_FINI
and DT_FINI_ARRAY entries, the functions referenced
by the DT_FINI_ARRAY entry are processed before the one
referenced by the DT_FINI entry for that object.
Although the
atexit(BA_OS)
termination processing normally will be done,
it is not guaranteed to have executed upon process death.
In particular, the process will not execute the termination processing
if it calls _exit [see
exit(BA_OS)]
or if the process dies because it received a signal
that it neither caught nor ignored.
The processor supplement for each processor specifies whether the
dynamic linker is responsible for calling the executable file's
initialization function or registering the executable file's
termination function with
atexit(BA_OS).
Termination functions specified by users via the
atexit(BA_OS)
mechanism
must be executed before any termination functions of shared objects.
© 1997, 1998, 1999, 2000, 2001 The Santa Cruz Operation, Inc. All rights reserved. </html>
