Files
pintos_22/specs/sysv-abi-update.html/ch5.dynamic.html
2024-10-01 23:37:39 +01:00

45 KiB

<html>

Dynamic Linking

Program Interpreter

An executable file that participates in dynamic linking shall have one PT_INTERP program header element. During exec(BA_OS), the system retrieves a path name from the PT_INTERP segment and creates the initial process image from the interpreter file's segments. That is, instead of using the original executable file's segment images, the system composes a memory image for the interpreter. It then is the interpreter's responsibility to receive control from the system and provide an environment for the application program.

As ``Process Initialization'' in Chapter 3 of the processor supplement mentions, the interpreter receives control in one of two ways. First, it may receive a file descriptor to read the executable file, positioned at the beginning. It can use this file descriptor to read and/or map the executable file's segments into memory. Second, depending on the executable file format, the system may load the executable file into memory instead of giving the interpreter an open file descriptor. With the possible exception of the file descriptor, the interpreter's initial process state matches what the executable file would have received. The interpreter itself may not require a second interpreter. An interpreter may be either a shared object or an executable file.

  • A shared object (the normal case) is loaded as position-independent, with addresses that may vary from one process to another; the system creates its segments in the dynamic segment area used by mmap(KE_OS) and related services [See ``Virtual Address Space'' in Chapter 3 of the processor supplement]. Consequently, a shared object interpreter typically will not conflict with the original executable file's original segment addresses.

  • An executable file may be loaded at fixed addresses; if so, the system creates its segments using the virtual addresses from the program header table. Consequently, an executable file interpreter's virtual addresses may collide with the first executable file; the interpreter is responsible for resolving conflicts.

Dynamic Linker

When building an executable file that uses dynamic linking, the link editor adds a program header element of type PT_INTERP to an executable file, telling the system to invoke the dynamic linker as the program interpreter.
NOTE: The locations of the system provided dynamic linkers are processor specific.

Exec(BA_OS) and the dynamic linker cooperate to create the process image for the program, which entails the following actions:

  • Adding the executable file's memory segments to the process image;

  • Adding shared object memory segments to the process image;

  • Performing relocations for the executable file and its shared objects;

  • Closing the file descriptor that was used to read the executable file, if one was given to the dynamic linker;

  • Transferring control to the program, making it look as if the program had received control directly from exec(BA_OS).

The link editor also constructs various data that assist the dynamic linker for executable and shared object files. As shown above in ``Program Header'', this data resides in loadable segments, making them available during execution. (Once again, recall the exact segment contents are processor-specific. See the processor supplement for complete information).

  • A .dynamic section with type SHT_DYNAMIC holds various data. The structure residing at the beginning of the section holds the addresses of other dynamic linking information.

  • The .hash section with type SHT_HASH holds a symbol hash table.

  • The .got and .plt sections with type SHT_PROGBITS hold two separate tables: the global offset table and the procedure linkage table. Chapter 3 discusses how programs use the global offset table for position-independent code. Sections below explain how the dynamic linker uses and changes the tables to create memory images for object files.

Because every ABI-conforming program imports the basic system services from a shared object library [See ``System Library'' in Chapter 6], the dynamic linker participates in every ABI-conforming program execution.

As `Program Loading'' explains in the processor supplement, shared objects may occupy virtual memory addresses that are different from the addresses recorded in the file's program header table. The dynamic linker relocates the memory image, updating absolute addresses before the application gains control. Although the absolute address values would be correct if the library were loaded at the addresses specified in the program header table, this normally is not the case.

If the process environment [see exec(BA_OS)] contains a variable named LD_BIND_NOW with a non-null value, the dynamic linker processes all relocations before transferring control to the program. For example, all the following environment entries would specify this behavior.

  • LD_BIND_NOW=1

  • LD_BIND_NOW=on

  • LD_BIND_NOW=off
Otherwise, LD_BIND_NOW either does not occur in the environment or has a null value. The dynamic linker is permitted to evaluate procedure linkage table entries lazily, thus avoiding symbol resolution and relocation overhead for functions that are not called. See ``Procedure Linkage Table'' in this chapter of the processor supplement for more information.

Dynamic Section

If an object file participates in dynamic linking, its program header table will have an element of type PT_DYNAMIC. This ``segment'' contains the .dynamic section. A special symbol, _DYNAMIC, labels the section, which contains an array of the following structures.


Figure 5-9: Dynamic Structure


typedef struct {
	Elf32_Sword	d_tag;
   	union {
   		Elf32_Word	d_val;
   		Elf32_Addr	d_ptr;
	} d_un;
} Elf32_Dyn;

extern Elf32_Dyn	_DYNAMIC[];

typedef struct {
	Elf64_Sxword	d_tag;
   	union {
   		Elf64_Xword	d_val;
   		Elf64_Addr	d_ptr;
	} d_un;
} Elf64_Dyn;

extern Elf64_Dyn	_DYNAMIC[];


For each object with this type, d_tag controls the interpretation of d_un.

d_val
These objects represent integer values with various interpretations.

d_ptr
These objects represent program virtual addresses. As mentioned previously, a file's virtual addresses might not match the memory virtual addresses during execution. When interpreting addresses contained in the dynamic structure, the dynamic linker computes actual addresses, based on the original file value and the memory base address. For consistency, files do not contain relocation entries to ``correct'' addresses in the dynamic structure.

To make it simpler for tools to interpret the contents of dynamic section entries, the value of each tag, except for those in two special compatibility ranges, will determine the interpretation of the d_un union. A tag whose value is an even number indicates a dynamic section entry that uses d_ptr. A tag whose value is an odd number indicates a dynamic section entry that uses d_val or that uses neither d_ptr nor d_val. Tags whose values are less than the special value DT_ENCODING and tags whose values fall between DT_HIOS and DT_LOPROC do not follow these rules.

The following table summarizes the tag requirements for executable and shared object files. If a tag is marked ``mandatory'', the dynamic linking array for an ABI-conforming file must have an entry of that type. Likewise, ``optional'' means an entry for the tag may appear but is not required.


Figure 5-10: Dynamic Array Tags, d_tag

Name Value d_un Executable Shared Object
DT_NULL 0 ignored mandatory mandatory
DT_NEEDED 1 d_val optional optional
DT_PLTRELSZ 2 d_val optional optional
DT_PLTGOT 3 d_ptr optional optional
DT_HASH 4 d_ptr mandatory mandatory
DT_STRTAB 5 d_ptr mandatory mandatory
DT_SYMTAB 6 d_ptr mandatory mandatory
DT_RELA 7 d_ptr mandatory optional
DT_RELASZ 8 d_val mandatory optional
DT_RELAENT 9 d_val mandatory optional
DT_STRSZ 10 d_val mandatory mandatory
DT_SYMENT 11 d_val mandatory mandatory
DT_INIT 12 d_ptr optional optional
DT_FINI 13 d_ptr optional optional
DT_SONAME 14 d_val ignored optional
DT_RPATH* 15 d_val optional ignored
DT_SYMBOLIC* 16 ignored ignored optional
DT_REL 17 d_ptr mandatory optional
DT_RELSZ 18 d_val mandatory optional
DT_RELENT 19 d_val mandatory optional
DT_PLTREL 20 d_val optional optional
DT_DEBUG 21 d_ptr optional ignored
DT_TEXTREL* 22 ignored optional optional
DT_JMPREL 23 d_ptr optional optional
DT_BIND_NOW* 24 ignored optional optional
DT_INIT_ARRAY 25 d_ptr optional optional
DT_FINI_ARRAY 26 d_ptr optional optional
DT_INIT_ARRAYSZ 27 d_val optional optional
DT_FINI_ARRAYSZ 28 d_val optional optional
DT_RUNPATH 29 d_val optional optional
DT_FLAGS 30 d_val optional optional
DT_ENCODING 32 unspecified unspecified unspecified
DT_PREINIT_ARRAY 32 d_ptr optional ignored
DT_PREINIT_ARRAYSZ 33 d_val optional ignored
DT_LOOS 0x6000000D unspecified unspecified unspecified
DT_HIOS 0x6ffff000 unspecified unspecified unspecified
DT_LOPROC 0x70000000 unspecified unspecified unspecified
DT_HIPROC 0x7fffffff unspecified unspecified unspecified

* Signifies an entry that is at level 2.


DT_NULL
An entry with a DT_NULL tag marks the end of the _DYNAMIC array.

DT_NEEDED
This element holds the string table offset of a null-terminated string, giving the name of a needed library. The offset is an index into the table recorded in the DT_STRTAB code. See ``Shared Object Dependencies'' for more information about these names. The dynamic array may contain multiple entries with this type. These entries' relative order is significant, though their relation to entries of other types is not.

DT_PLTRELSZ
This element holds the total size, in bytes, of the relocation entries associated with the procedure linkage table. If an entry of type DT_JMPREL is present, a DT_PLTRELSZ must accompany it.

DT_PLTGOT
This element holds an address associated with the procedure linkage table and/or the global offset table. See this section in the processor supplement for details.

DT_HASH
This element holds the address of the symbol hash table, described in ``Hash Table''. This hash table refers to the symbol table referenced by the DT_SYMTAB element.

DT_STRTAB
This element holds the address of the string table, described in Chapter 4. Symbol names, library names, and other strings reside in this table.

DT_SYMTAB
This element holds the address of the symbol table, described in the first part of this chapter, with Elf32_Sym entries for the 32-bit class of files and Elf64_Sym entries for the 64-bit class of files.

DT_RELA
This element holds the address of a relocation table, described in Chapter 4. Entries in the table have explicit addends, such as Elf32_Rela for the 32-bit file class or Elf64_Rela for the 64-bit file class. An object file may have multiple relocation sections. When building the relocation table for an executable or shared object file, the link editor catenates those sections to form a single table. Although the sections remain independent in the object file, the dynamic linker sees a single table. When the dynamic linker creates the process image for an executable file or adds a shared object to the process image, it reads the relocation table and performs the associated actions. If this element is present, the dynamic structure must also have DT_RELASZ and DT_RELAENT elements. When relocation is ``mandatory'' for a file, either DT_RELA or DT_REL may occur (both are permitted but not required).

DT_RELASZ
This element holds the total size, in bytes, of the DT_RELA relocation table.

DT_RELAENT
This element holds the size, in bytes, of the DT_RELA relocation entry.

DT_STRSZ
This element holds the size, in bytes, of the string table.

DT_SYMENT
This element holds the size, in bytes, of a symbol table entry.

DT_INIT
This element holds the address of the initialization function, discussed in ``Initialization and Termination Functions'' below.

DT_FINI
This element holds the address of the termination function, discussed in ``Initialization and Termination Functions'' below.

DT_SONAME
This element holds the string table offset of a null-terminated string, giving the name of the shared object. The offset is an index into the table recorded in the DT_STRTAB entry. See ``Shared Object Dependencies'' below for more information about these names.

DT_RPATH
This element holds the string table offset of a null-terminated search library search path string discussed in ``Shared Object Dependencies''. The offset is an index into the table recorded in the DT_STRTAB entry. This entry is at level 2. Its use has been superseded by DT_RUNPATH.

DT_SYMBOLIC
This element's presence in a shared object library alters the dynamic linker's symbol resolution algorithm for references within the library. Instead of starting a symbol search with the executable file, the dynamic linker starts from the shared object itself. If the shared object fails to supply the referenced symbol, the dynamic linker then searches the executable file and other shared objects as usual. This entry is at level 2. Its use has been superseded by the DF_SYMBOLIC flag.

DT_REL
This element is similar to DT_RELA, except its table has implicit addends, such as Elf32_Rel for the 32-bit file class or Elf64_Rel for the 64-bit file class. If this element is present, the dynamic structure must also have DT_RELSZ and DT_RELENT elements.

DT_RELSZ
This element holds the total size, in bytes, of the DT_REL relocation table.

DT_RELENT
This element holds the size, in bytes, of the DT_REL relocation entry.

DT_PLTREL
This member specifies the type of relocation entry to which the procedure linkage table refers. The d_val member holds DT_REL or DT_RELA, as appropriate. All relocations in a procedure linkage table must use the same relocation.

DT_DEBUG
This member is used for debugging. Its contents are not specified for the ABI; programs that access this entry are not ABI-conforming.

DT_TEXTREL
This member's absence signifies that no relocation entry should cause a modification to a non-writable segment, as specified by the segment permissions in the program header table. If this member is present, one or more relocation entries might request modifications to a non-writable segment, and the dynamic linker can prepare accordingly. This entry is at level 2. Its use has been superseded by the DF_TEXTREL flag.

DT_JMPREL
If present, this entry's d_ptr member holds the address of relocation entries associated solely with the procedure linkage table. Separating these relocation entries lets the dynamic linker ignore them during process initialization, if lazy binding is enabled. If this entry is present, the related entries of types DT_PLTRELSZ and DT_PLTREL must also be present.

DT_BIND_NOW
If present in a shared object or executable, this entry instructs the dynamic linker to process all relocations for the object containing this entry before transferring control to the program. The presence of this entry takes precedence over a directive to use lazy binding for this object when specified through the environment or via dlopen(BA_LIB). This entry is at level 2. Its use has been superseded by the DF_BIND_NOW flag.

DT_INIT_ARRAY
This element holds the address of the array of pointers to initialization functions, discussed in ``Initialization and Termination Functions'' below.

DT_FINI_ARRAY
This element holds the address of the array of pointers to termination functions, discussed in ``Initialization and Termination Functions'' below.

DT_INIT_ARRAYSZ
This element holds the size in bytes of the array of initialization functions pointed to by the DT_INIT_ARRAY entry. If an object has a DT_INIT_ARRAY entry, it must also have a DT_INIT_ARRAYSZ entry.

DT_FINI_ARRAYSZ
This element holds the size in bytes of the array of termination functions pointed to by the DT_FINI_ARRAY entry. If an object has a DT_FINI_ARRAY entry, it must also have a DT_FINI_ARRAYSZ entry.

DT_RUNPATH
This element holds the string table offset of a null-terminated library search path string discussed in ``Shared Object Dependencies''. The offset is an index into the table recorded in the DT_STRTAB entry.

DT_FLAGS
This element holds flag values specific to the object being loaded. Each flag value will have the name DF_flag_name. Defined values and their meanings are described below. All other values are reserved.

DT_PREINIT_ARRAY
This element holds the address of the array of pointers to pre-initialization functions, discussed in ``Initialization and Termination Functions'' below. The DT_PREINIT_ARRAY table is processed only in an executable file; it is ignored if contained in a shared object.

DT_PREINIT_ARRAYSZ
This element holds the size in bytes of the array of pre-initialization functions pointed to by the DT_PREINIT_ARRAY entry. If an object has a DT_PREINIT_ARRAY entry, it must also have a DT_PREINIT_ARRAYSZ entry. As with DT_PREINIT_ARRAY, this entry is ignored if it appears in a shared object.

DT_ENCODING
Values greater than or equal to DT_ENCODING and less than DT_LOOS follow the rules for the interpretation of the d_un union described above.

DT_LOOS through DT_HIOS
Values in this inclusive range are reserved for operating system-specific semantics. All such values follow the rules for the interpretation of the d_un union described above.

DT_LOPROC through DT_HIPROC
Values in this inclusive range are reserved for processor-specific semantics. If meanings are specified, the processor supplement explains them. All such values follow the rules for the interpretation of the d_un union described above.

Except for the DT_NULL element at the end of the array, and the relative order of DT_NEEDED elements, entries may appear in any order. Tag values not appearing in the table are reserved.


Figure 5-11: DT_FLAGS values

Name Value
DF_ORIGIN 0x1
DF_SYMBOLIC 0x2
DF_TEXTREL 0x4
DF_BIND_NOW 0x8
DF_STATIC_TLS 0x10


DF_ORIGIN
This flag signifies that the object being loaded may make reference to the $ORIGIN substitution string (see ``Substitution Sequences''). The dynamic linker must determine the pathname of the object containing this entry when the object is loaded.

DF_SYMBOLIC
If this flag is set in a shared object library, the dynamic linker's symbol resolution algorithm for references within the library is changed. Instead of starting a symbol search with the executable file, the dynamic linker starts from the shared object itself. If the shared object fails to supply the referenced symbol, the dynamic linker then searches the executable file and other shared objects as usual.

DF_TEXTREL
If this flag is not set, no relocation entry should cause a modification to a non-writable segment, as specified by the segment permissions in the program header table. If this flag is set, one or more relocation entries might request modifications to a non-writable segment, and the dynamic linker can prepare accordingly.

DF_BIND_NOW
If set in a shared object or executable, this flag instructs the dynamic linker to process all relocations for the object containing this entry before transferring control to the program. The presence of this entry takes precedence over a directive to use lazy binding for this object when specified through the environment or via dlopen(BA_LIB).

DF_STATIC_TLS
If set in a shared object or executable, this flag instructs the dynamic linker to reject attempts to load this file dynamically. It indicates that the shared object or executable contains code using a static thread-local storage scheme. Implementations need not support any form of thread-local storage.

Shared Object Dependencies

When the link editor processes an archive library, it extracts library members and copies them into the output object file. These statically linked services are available during execution without involving the dynamic linker. Shared objects also provide services, and the dynamic linker must attach the proper shared object files to the process image for execution.

When the dynamic linker creates the memory segments for an object file, the dependencies (recorded in DT_NEEDED entries of the dynamic structure) tell what shared objects are needed to supply the program's services. By repeatedly connecting referenced shared objects and their dependencies, the dynamic linker builds a complete process image. When resolving symbolic references, the dynamic linker examines the symbol tables with a breadth-first search. That is, it first looks at the symbol table of the executable program itself, then at the symbol tables of the DT_NEEDED entries (in order), and then at the second level DT_NEEDED entries, and so on. Shared object files must be readable by the process; other permissions are not required.


NOTE: Even when a shared object is referenced multiple times in the dependency list, the dynamic linker will connect the object only once to the process.

Names in the dependency list are copies either of the DT_SONAME strings or the path names of the shared objects used to build the object file. For example, if the link editor builds an executable file using one shared object with a DT_SONAME entry of lib1 and another shared object library with the path name /usr/lib/lib2, the executable file will contain lib1 and /usr/lib/lib2 in its dependency list.

If a shared object name has one or more slash (/) characters anywhere in the name, such as /usr/lib/lib2 or directory/file, the dynamic linker uses that string directly as the path name. If the name has no slashes, such as lib1, three facilities specify shared object path searching.


    • The dynamic array tag DT_RUNPATH gives a string that holds a list of directories, separated by colons (:). For example, the string /home/dir/lib:/home/dir2/lib: tells the dynamic linker to search first the directory /home/dir/lib, then /home/dir2/lib, and then the current directory to find dependencies.

      The set of directories specified by a given DT_RUNPATH entry is used to find only the immediate dependencies of the executable or shared object containing the DT_RUNPATH entry. That is, it is used only for those dependencies contained in the DT_NEEDED entries of the dynamic structure containing the DT_RUNPATH entry, itself. One object's DT_RUNPATH entry does not affect the search for any other object's dependencies.

    • A variable called LD_LIBRARY_PATH in the process environment [see exec(BA_OS)] may hold a list of directories as above, optionally followed by a semicolon (;) and another directory list. The following values would be equivalent to the previous example:

      • LD_LIBRARY_PATH=/home/dir/usr/lib:/home/dir2/usr/lib:

      • LD_LIBRARY_PATH=/home/dir/usr/lib;/home/dir2/usr/lib:

      • LD_LIBRARY_PATH=/home/dir/usr/lib:/home/dir2/usr/lib:;

      Although some programs (such as the link editor) treat the lists before and after the semicolon differently, the dynamic linker does not. Nevertheless, the dynamic linker accepts the semicolon notation, with the semantics described previously.

      All LD_LIBRARY_PATH directories are searched before those from DT_RUNPATH.

    • Finally, if the other two groups of directories fail to locate the desired library, the dynamic linker searches the default directories, /usr/lib or such other directories as may be specified by the ABI supplement for a given processor.

    When the dynamic linker is searching for shared objects, it is not a fatal error if an ELF file with the wrong attributes is encountered in the search. Instead, the dynamic linker shall exhaust the search of all paths before determining that a matching object could not be found. For this determination, the relevant attributes are contained in the following ELF header fields: e_ident[EI_DATA], e_ident[EI_CLASS], e_ident[EI_OSABI], e_ident[EI_ABIVERSION], e_machine, e_type, e_flags and e_version.


    NOTE: For security, the dynamic linker ignores LD_LIBRARY_PATH for set-user and set-group ID programs. It does, however, search DT_RUNPATH directories and the default directories. The same restriction may be applied to processes that have more than minimal privileges on systems with installed extended security mechanisms.
    NOTE: A fourth search facility, the dynamic array tag DT_RPATH, has been moved to level 2 in the ABI. It provides a colon-separated list of directories to search. Directories specified by DT_RPATH are searched before directories specified by LD_LIBRARY_PATH.

    If both DT_RPATH and DT_RUNPATH entries appear in a single object's dynamic array, the dynamic linker processes only the DT_RUNPATH entry.


    Substitution Sequences

    Within a string provided by dynamic array entries with the DT_NEEDED or DT_RUNPATH tags and in pathnames passed as parameters to the dlopen() routine, a dollar sign ($) introduces a substitution sequence. This sequence consists of the dollar sign immediately followed by either the longest name sequence or a name contained within left and right braces ({) and (}). A name is a sequence of bytes that start with either a letter or an underscore followed by zero or more letters, digits or underscores. If a dollar sign is not immediately followed by a name or a brace-enclosed name, the behavior of the dynamic linker is unspecified.

    If the name is ``ORIGIN'', then the substitution sequence is replaced by the dynamic linker with the absolute pathname of the directory in which the object containing the substitution sequence originated. Moreover, the pathname will contain no symbolic links or use of ``.'' or ``..'' components. Otherwise (when the name is not ``ORIGIN'') the behavior of the dynamic linker is unspecified.

    When the dynamic linker loads an object that uses $ORIGIN, it must calculate the pathname of the directory containing the object. Because this calculation can be computationally expensive, implementations may want to avoid the calculation for objects that do not use $ORIGIN. If an object calls dlopen() with a string containing $ORIGIN and does not use $ORIGIN in one if its dynamic array entries, the dynamic linker may not have calculated the pathname for the object until the dlopen() actually occurs. Since the application may have changed its current working directory before the dlopen() call, the calculation may not yield the correct result. To avoid this possibility, an object may signal its intention to reference $ORIGIN by setting the DF_ORIGIN flag. An implementation may reject an attempt to use $ORIGIN within a dlopen() call from an object that did not set the DF_ORIGIN flag and did not use $ORIGIN within its dynamic array.


    NOTE: For security, the dynamic linker does not allow use of $ORIGIN substitution sequences for set-user and set-group ID programs. For such sequences that appear within strings specified by DT_RUNPATH dynamic array entries, the specific search path containing the $ORIGIN sequence is ignored (though other search paths in the same string are processed). $ORIGIN sequences within a DT_NEEDED entry or path passed as a parameter to dlopen() are treated as errors. The same restrictions may be applied to processes that have more than minimal privileges on systems with installed extended security mechanisms.

    Global Offset Table


    NOTE: This section requires processor-specific information. The System V Application Binary Interface supplement for the desired processor describes the details.

    Procedure Linkage Table


    NOTE: This section requires processor-specific information. The System V Application Binary Interface supplement for the desired processor describes the details.

    Hash Table

    A hash table of Elf32_Word objects supports symbol table access. The same table layout is used for both the 32-bit and 64-bit file class. Labels appear below to help explain the hash table organization, but they are not part of the specification.
    Figure 5-12: Symbol Hash Table

    nbucket
    nchain
    bucket[0]
    . . .
    bucket[nbucket-1]
    chain[0]
    . . .
    chain[nchain-1]


    The bucket array contains nbucket entries, and the chain array contains nchain entries; indexes start at 0. Both bucket and chain hold symbol table indexes. Chain table entries parallel the symbol table. The number of symbol table entries should equal nchain; so symbol table indexes also select chain table entries. A hashing function (shown below) accepts a symbol name and returns a value that may be used to compute a bucket index. Consequently, if the hashing function returns the value x for some name, bucket[x%nbucket] gives an index, y, into both the symbol table and the chain table. If the symbol table entry is not the one desired, chain[y] gives the next symbol table entry with the same hash value. One can follow the chain links until either the selected symbol table entry holds the desired name or the chain entry contains the value STN_UNDEF.


    Figure 5-13: Hashing Function

    
    unsigned long
    elf_hash(const unsigned char *name)
    {
    	unsigned long	h = 0, g;
    	while (*name)
    	{
    		h = (h << 4) + *name++;
    		if (g = h & 0xf0000000)
    			h ^= g >> 24;
    		h &= ~g;
    	}
    	return h;
    }
    
    

    Initialization and Termination Functions

    After the dynamic linker has built the process image and performed the relocations, each shared object and the executable file get the opportunity to execute some initialization functions. All shared object initializations happen before the executable file gains control.

    Before the initialization functions for any object A is called, the initialization functions for any other objects that object A depends on are called. For these purposes, an object A depends on another object B, if B appears in A's list of needed objects (recorded in the DT_NEEDED entries of the dynamic structure). The order of initialization for circular dependencies is undefined.

    The initialization of objects occurs by recursing through the needed entries of each object. The initialization functions for an object are invoked after the needed entries for that object have been processed. The order of processing among the entries of a particular list of needed objects is unspecified.


    NOTE: Each processor supplement may optionally further restrict the algorithm used to determine the order of initialization. Any such restriction, however, may not conflict with the rules described by this specification.

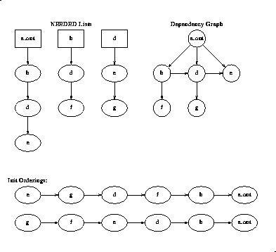
    The following example illustrates two of the possible correct orderings which can be generated for the example NEEDED lists. In this example the a.out is dependent on b, d, and e. b is dependent on d and f, while d is dependent on e and g. From this information a dependency graph can be drawn. The above algorithm on initialization will then allow the following specified initialization orderings among others.


    Figure 5-14: Initialization Ordering Example


    Similarly, shared objects and executable files may have termination functions, which are executed with the atexit(BA_OS) mechanism after the base process begins its termination sequence. The termination functions for any object A must be called before the termination functions for any other objects that object A depends on. For these purposes, an object A depends on another object B, if B appears in A's list of needed objects (recorded in the DT_NEEDED entries of the dynamic structure). The order of termination for circular dependencies is undefined.

    Finally, an executable file may have pre-initialization functions. These functions are executed after the dynamic linker has built the process image and performed relocations but before any shared object initialization functions. Pre-initialization functions are not permitted in shared objects.


    NOTE: Complete initialization of system libraries may not have occurred when pre-initializations are executed, so some features of the system may not be available to pre-initialization code. In general, use of pre-initialization code can be considered portable only if it has no dependencies on system libraries.

    The dynamic linker ensures that it will not execute any initialization, pre-initialization, or termination functions more than once.

    Shared objects designate their initialization and termination code in one of two ways. First, they may specify the address of a function to execute via the DT_INIT and DT_FINI entries in the dynamic structure, described in ``Dynamic Section'' above.


    NOTE: Note that the address of a function need not be the same as a pointer to a function as defined by the processor supplement.

    Shared objects may also (or instead) specify the address and size of an array of function pointers. Each element of this array is a pointer to a function to be executed by the dynamic linker. Each array element is the size of a pointer in the programming model followed by the object containing the array. The address of the array of initialization function pointers is specified by the DT_INIT_ARRAY entry in the dynamic structure. Similarly, the address of the array of pre-initialization functions is specified by DT_PREINIT_ARRAY and the address of the array of termination functions is specified by DT_FINI_ARRAY. The size of each array is specified by the DT_INIT_ARRAYSZ, DT_PREINIT_ARRAYSZ, and DT_FINI_ARRAYSZ entries.


    NOTE: The addresses contained in the initialization and termination arrays are function pointers as defined by the processor supplement for each processor. On some architectures, a function pointer may not contain the actual address of the function.

    The functions pointed to in the arrays specified by DT_INIT_ARRAY and by DT_PREINIT_ARRAY are executed by the dynamic linker in the same order in which their addresses appear in the array; those specified by DT_FINI_ARRAY are executed in reverse order.

    If an object contains both DT_INIT and DT_INIT_ARRAY entries, the function referenced by the DT_INIT entry is processed before those referenced by the DT_INIT_ARRAY entry for that object. If an object contains both DT_FINI and DT_FINI_ARRAY entries, the functions referenced by the DT_FINI_ARRAY entry are processed before the one referenced by the DT_FINI entry for that object.


    NOTE: Although the atexit(BA_OS) termination processing normally will be done, it is not guaranteed to have executed upon process death. In particular, the process will not execute the termination processing if it calls _exit [see exit(BA_OS)] or if the process dies because it received a signal that it neither caught nor ignored.

    The processor supplement for each processor specifies whether the dynamic linker is responsible for calling the executable file's initialization function or registering the executable file's termination function with atexit(BA_OS). Termination functions specified by users via the atexit(BA_OS) mechanism must be executed before any termination functions of shared objects.


    Previous Contents
    © 1997, 1998, 1999, 2000, 2001 The Santa Cruz Operation, Inc. All rights reserved. </html>