This website requires JavaScript.
Explore
Help
Sign In
Imperial-MEng
/
pintos_22
Watch
1
Star
0
Fork
0
You've already forked pintos_22
Code
Issues
Pull Requests
Actions
Packages
Projects
Releases
Wiki
Activity
Files
1da0c7d48c329c7960684676962dc1b9d28d5cb4
pintos_22
/
specs
/
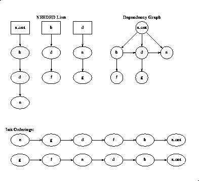
sysv-abi-update.html
/
init_example.gif
LabTS
8724a2641e
provided code
2024-10-01 23:37:39 +01:00
3.3 KiB
393x358px
Raw
History